Rekenen met breuken

14 november - Breuken vergelijken

Gelijkwaardige breuken en breuken vergelijken

Melvin's make match

21 november - Breuken optellen en aftrekken

Vandaag ga je oefenen met het optellen van breuken.

 

Je kijkt naar de 'taarten' en vult rechtsbovenin de breuk in die erbij hoort.

Eerst reken je de rode taarten uit, daarna de blauwe. Vervolgens tel je deze bij elkaar op, hoeveel heb je in totaal?

Denk eraan dat je de breuken (de noemers) gelijknamig moet maken!

Klik op het plaatje hieronder:

 

 

--------------------------------------------------------------------------------------------------------------

Aftrekken:

Ga naar de volgende site http://www.breukenoefenen.nl/ en klik bovenaan op 'aftrekken'. 

Gebruik ook het kladblok!

 

28 november - Breuken vermenigvuldigen

Breuken vermenigvuldigen

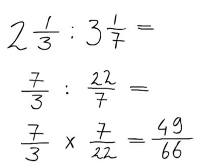
12 december - Delen met breuken

Delen met breuken

________________________________________________________

 

 

 

 

Dit filmpje gaat over het delen met breuken. Klik op het plaatje hieronder:

19 december - Delen met breuken

Dit filmpje gaat over het delen met gemengde breuken. Klik hier:

  • Het arrangement Rekenen met breuken is gemaakt met Wikiwijs van Kennisnet. Wikiwijs is hét onderwijsplatform waar je leermiddelen zoekt, maakt en deelt.

    Auteur
    onbekend Wassink
    Laatst gewijzigd
    28-10-2013 12:32:37
    Licentie

    Dit lesmateriaal is gepubliceerd onder de Creative Commons Naamsvermelding 3.0 Nederlands licentie. Dit houdt in dat je onder de voorwaarde van naamsvermelding vrij bent om:

    • het werk te delen - te kopiëren, te verspreiden en door te geven via elk medium of bestandsformaat
    • het werk te bewerken - te remixen, te veranderen en afgeleide werken te maken
    • voor alle doeleinden, inclusief commerciële doeleinden.

    Meer informatie over de CC Naamsvermelding 3.0 Nederland licentie.

    Aanvullende informatie over dit lesmateriaal

    Van dit lesmateriaal is de volgende aanvullende informatie beschikbaar:

    Eindgebruiker
    leerling/student
    Moeilijkheidsgraad
    gemiddeld

    Bronnen

    Bron Type
    Gelijkwaardige breuken en breuken vergelijken
    http://www.klascement.net/nieuws/37108/
    Link
    Melvin's make match
    http://www.fisme.science.uu.nl/toepassingen/08142/
    Link
    Breuken vermenigvuldigen
    http://www.klascement.net/nieuws/29589/
    Link
    Delen met breuken
    http://wikiwijs.samendelen.nl/get/smpid:4400/DS1
    Link
  • Downloaden

    Het volledige arrangement is in de onderstaande formaten te downloaden.

    Metadata

    LTI

    Leeromgevingen die gebruik maken van LTI kunnen Wikiwijs arrangementen en toetsen afspelen en resultaten terugkoppelen. Hiervoor moet de leeromgeving wel bij Wikiwijs aangemeld zijn. Wil je gebruik maken van de LTI koppeling? Meld je aan via info@wikiwijs.nl met het verzoek om een LTI koppeling aan te gaan.

    Maak je al gebruik van LTI? Gebruik dan de onderstaande Launch URL’s.

    Arrangement

    IMSCC package

    Wil je de Launch URL’s niet los kopiëren, maar in één keer downloaden? Download dan de IMSCC package.

    Voor developers

    Wikiwijs lesmateriaal kan worden gebruikt in een externe leeromgeving. Er kunnen koppelingen worden gemaakt en het lesmateriaal kan op verschillende manieren worden geëxporteerd. Meer informatie hierover kun je vinden op onze Developers Wiki.