Hoofdstuk 6 en 7 van Pulsar - chemie - 3 havo / vwo

Hoofdstuk 6 en 7 van Pulsar - chemie - 3 havo / vwo

Hoofdstuk 6 - Zetmeel in aardappelen.

Het volgende leerarrangement gaat over hoofdstuk 6 en 7, volg nauwkeurig de aanwijzingen en bewaar alle resultaten in je map.

Je zult merken dat je naast je boek ook gebruik gaat maken van allerlei andere informatiebronnen zoals bv het internet.

Veel plezier

De aardappelplant
De aardappelplant

Praktikum opdracht zetmeel in aardappelen.

Proef zetmeel in aardappelen.

Doe de proef zetmeel in aardappelen op blz 106 uit je boek.

Laat het zetmeel drogen en doe de voorgeschreven controle proef, beschrijf het verkregen zetmeel.

 

Geef antwoord op de vragen uit de proef en doe de antwoorden in je map.

Aardappelzetmeel
Aardappelzetmeel

Paragraaf 6.1 - Reaktiesnelheid.

Deze paragraaf gaat over reaktiesnelheid en de factoren die hierop van invloed zijn.

 De factoren die van invloed zijn op de reactiesnelheid zijn:

  • De temperatuur
  • De soort stof
  • De concentratie van de stof
  • De verdelingsgraad
  • De katalysator

 

 Je gaat over dit onderwerp een paar filmpjes bekijken en je gebruikt je boek . De resultaten en de antwoorden op de vragen doe je in je map.

 

                                                            

 

Reaktiesnelheid

Bekijk de volgende filmpjes over reaktiesnelheid. Lees daarna paragraaf 6.1 uit je boek en maak de vragen 2-3-5-6-7-9-10-11-12-14-15-16-18.

De verdelingsgraad.

Stukjes hout
Stukjes hout
thermometer
thermometer

De invloed van de temperatuur

Gebruik van een katalysator

Paragraaf 6.2 - Fotosynthese en Scheidingsmethoden.

Deze paragraaf gaat over fotosynthese en een aantal scheidingsmethoden.

Het antwoord op de opdracht doe je in je map, evenals de antwoorden op de vragen uit je boek, wel nakijken.

 

 

Fotosynthese
Fotosynthese

Fotosynthese.

Bekijk de video's fotosynthese en leg uit in maximaal 100 woorden wat fotosynthese is, print je verhaal uit en stop het in je map.Vervolgens lees je blz 113 uit je boek en maak je de vragen 19 - 20 - 21 - 22.

Fotosynthese

Fotosynthese
Fotosynthese

Fotosynthese

Paragraaf 6.3 - Reagentia.

Altijd de juiste indicator gebruiken
Altijd de juiste indicator gebruiken

Deze paragraaf gaat over reagentia of indicatoren. De enige informatiebron die je gaat gebruiken is je boek. De antwoorden op de vragen doe je in je map.

Reagentia of indicatoren.

Lees de paragraaf en maak de volgende vragen: 24 -25 - 26 - 27 - 29

Reagentia
Reagentia

Paragraaf 6.4 - Het gebruik van zetmeel.

Deze paragraaf gaat over hoe je zetmeel voor allerlei zaken kan gebruiken, zoals bv voor het maken van bioplastik, behangslijm enz.

De resultaten van de opdrachten doe je weer in je map evenals de antwoorden op de vragen uit je boek.

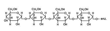
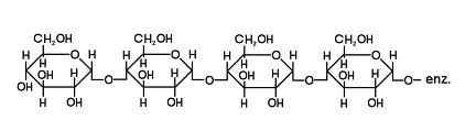
formule zetmeel
formule zetmeel

Zetmeel.

Get Microsoft Silverlight
Bekijk de video in andere formaten.

Gebruik van aardappelzetmeel.

Bekijk de video over aardappelzetmeel en maak een blokschema van de productie van aardappel naar zetmeel.

Doe het blokschema in je map.

Maken van bioplastik uit zetmeel.

Bekijk de video over bioplastik en doe de proef van blz 108. Gebruik het zetmeel dat je hebt bewaard. Vraag de docent om verdere instruktie betreffende de proef. Beantwoord de vragen bij de proef.

Maak ook de volgende vragen van 6.4- 30 - 33 -  34 en 35.

Bioplastik
Bioplastik

Bioplastik

Hoofdstuk 7 - de gezonde maaltijd.

De schijf van vijf
De schijf van vijf

Vitaminen

vitaminen
vitaminen

Bekijk de klokhuisvideo over vitaminen . Schrijf  de belangrijkste vitaminen op en geef aan in welke voedingsmiddelen ze zitten.

Doe het resultaat in je map.

 

Doe de webquest gezonde voeding.

Gezonde voeding
Gezonde voeding

Opdracht: Gezonde voeding
De juiste voeding is belangrijk voor de gezondheid. Maar welke voeding is nou eigenlijk gezond? In deze opdracht kom je hier meer over te weten.

Test

Vraag de  test aan je docent maak deze en doe hem vervolgens in je map.

Je map lever je op de afgesproken datum in. Het cijfer telt mee als een proefwerkcijfer.

  • Het arrangement Hoofdstuk 6 en 7 van Pulsar - chemie - 3 havo / vwo is gemaakt met Wikiwijs van Kennisnet. Wikiwijs is hét onderwijsplatform waar je leermiddelen zoekt, maakt en deelt.

    Auteurs
    Mary-Ann Grant
    Laatst gewijzigd
    13-02-2013 16:07:19
    Licentie

    Dit lesmateriaal is gepubliceerd onder de Creative Commons Naamsvermelding 3.0 Nederlands licentie. Dit houdt in dat je onder de voorwaarde van naamsvermelding vrij bent om:

    • het werk te delen - te kopiëren, te verspreiden en door te geven via elk medium of bestandsformaat
    • het werk te bewerken - te remixen, te veranderen en afgeleide werken te maken
    • voor alle doeleinden, inclusief commerciële doeleinden.

    Meer informatie over de CC Naamsvermelding 3.0 Nederland licentie.

    Aanvullende informatie over dit lesmateriaal

    Van dit lesmateriaal is de volgende aanvullende informatie beschikbaar:

    Toelichting
    Hoofdstukken behandelen voeding, scheidingsmethoden, reagentia,en onderzoeksvaardigheden.
    Leerniveau
    HAVO 3; VWO 3;
    Leerinhoud en doelen
    Scheikunde;
    Eindgebruiker
    leerling/student
    Moeilijkheidsgraad
    gemiddeld
    Studiebelasting
    0 uur 50 minuten
    Trefwoorden
    bioplastik, gezonde voeding, onderzoeken, scheidingsmethoden, voeding, zetmeel

    Bronnen

    Bron Type
    De verdelingsgraad.
    http://www.schooltv.nl/beeldbank/clip/20031208_23_01snelho
    Link
    De invloed van de temperatuur
    http://www.schooltv.nl/beeldbank/clip/20031208_21_01snelht
    Link
    Gebruik van een katalysator
    http://www.schooltv.nl/beeldbank/clip/20031208_22_01snelhk
    Link
    Fotosynthese
    http://www.schooltv.nl/beeldbank/clip/20100402_fotosynthese01
    Link
    Fotosynthese
    http://www.schooltv.nl/beeldbank/clip/20100721_fotosynthese01
    Link
    Gebruik van aardappelzetmeel.
    http://player.omroep.nl/?aflID=7276559
    Video
    Bioplastik
    http://www.schooltv.nl/beeldbank/clip/20040115_plastic01
    Link
    Video over vitaminen
    http://player.omroep.nl/?aflID=3993237
    Video
    Opdracht: Gezonde voeding
    http://wikiwijs.samendelen.nl/get/smpid:29807/DS1
    Link
  • Downloaden

    Het volledige arrangement is in de onderstaande formaten te downloaden.

    Metadata

    LTI

    Leeromgevingen die gebruik maken van LTI kunnen Wikiwijs arrangementen en toetsen afspelen en resultaten terugkoppelen. Hiervoor moet de leeromgeving wel bij Wikiwijs aangemeld zijn. Wil je gebruik maken van de LTI koppeling? Meld je aan via info@wikiwijs.nl met het verzoek om een LTI koppeling aan te gaan.

    Maak je al gebruik van LTI? Gebruik dan de onderstaande Launch URL’s.

    Arrangement

    IMSCC package

    Wil je de Launch URL’s niet los kopiëren, maar in één keer downloaden? Download dan de IMSCC package.

    Voor developers

    Wikiwijs lesmateriaal kan worden gebruikt in een externe leeromgeving. Er kunnen koppelingen worden gemaakt en het lesmateriaal kan op verschillende manieren worden geëxporteerd. Meer informatie hierover kun je vinden op onze Developers Wiki.